
Content
- Wood and the Romans
- Interdisicplinary data sources
- Dendroprovenance
- Network analysis of tree-ring data
- Archaeological interpretation
- R-package: dendroNetwork
- Conclusions
Ronald M. Visser
05 May, 2025

(Source: Visser 2025, fig. 03.02)


(Source right figure: Visser 2025, fig. 03.17) (Source left figure: Visser 2025, fig. 03.10)
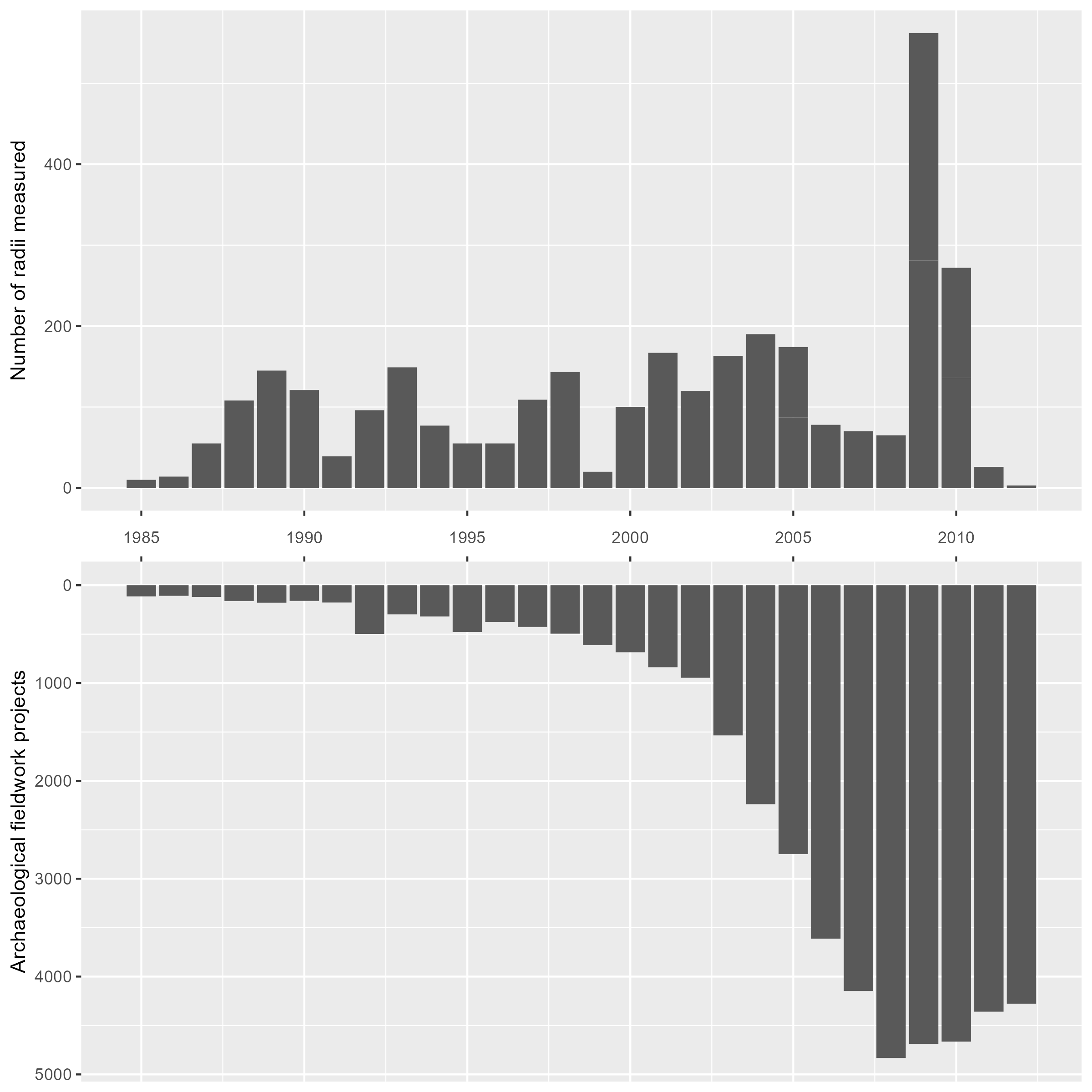
Sparse big data:
(Source: Visser 2025, fig. 03.19)
Where did the wood come from?

(Source: Visser 2025, fig. 03.05)
Where did the wood come from?
Provenance of wood based on comparison tree-ring curves with (regional) chronologies


(Figure source: Visser 2025, fig. 09.03)



(Source: Visser 2025, fig. 10.04)
(Visser 2021b; Visser and Vorst 2022b)
(Visser and Vorst 2022a; Visser 2022)

Building an R package

Existing packages for dendrochronology.

dendroNetwork and its position in relation to other dendrochronological packages.



Source of these slides: https://github.com/RonaldVisser/RelatingRomanRings_CAA2025 https://doi.org/10.5281/zenodo.15342407

Relating Roman Rings presented at CAA2025 in Athens (2025-05-08)